2.2 迭代与递归
在算法中,重复执行某个任务是很常见的,它与复杂度分析息息相关。因此,在介绍时间复杂度和空间复杂度之前,我们先来了解如何在程序中实现重复执行任务,即两种基本的程序控制结构:迭代、递归。
2.2.1 迭代
迭代(iteration)是一种重复执行某个任务的控制结构。在迭代中,程序会在满足一定的条件下重复执行某段代码,直到这个条件不再满足。
1. for 循环
for 循环是最常见的迭代形式之一,适合在预先知道迭代次数时使用。
以下函数基于 for 循环实现了求和 \(1 + 2 + \dots + n\) ,求和结果使用变量 res 记录。需要注意的是,Python 中 range(a, b) 对应的区间是“左闭右开”的,对应的遍历范围为 \(a, a + 1, \dots, b-1\) :
iteration.pydef for_loop(n: int) -> int:
"""for 循环"""
res = 0
# 循环求和 1, 2, ..., n-1, n
for i in range(1, n + 1):
res += i
return res
iteration.cpp/* for 循环 */
int forLoop(int n) {
int res = 0;
// 循环求和 1, 2, ..., n-1, n
for (int i = 1; i <= n; ++i) {
res += i;
}
return res;
}
iteration.java/* for 循环 */
int forLoop(int n) {
int res = 0;
// 循环求和 1, 2, ..., n-1, n
for (int i = 1; i <= n; i++) {
res += i;
}
return res;
}
iteration.cs/* for 循环 */
int ForLoop(int n) {
int res = 0;
// 循环求和 1, 2, ..., n-1, n
for (int i = 1; i <= n; i++) {
res += i;
}
return res;
}
iteration.go/* for 循环 */
func forLoop(n int) int {
res := 0
// 循环求和 1, 2, ..., n-1, n
for i := 1; i <= n; i++ {
res += i
}
return res
}
iteration.swift/* for 循环 */
func forLoop(n: Int) -> Int {
var res = 0
// 循环求和 1, 2, ..., n-1, n
for i in 1 ... n {
res += i
}
return res
}
iteration.js/* for 循环 */
function forLoop(n) {
let res = 0;
// 循环求和 1, 2, ..., n-1, n
for (let i = 1; i <= n; i++) {
res += i;
}
return res;
}
iteration.ts/* for 循环 */
function forLoop(n: number): number {
let res = 0;
// 循环求和 1, 2, ..., n-1, n
for (let i = 1; i <= n; i++) {
res += i;
}
return res;
}
iteration.dart/* for 循环 */
int forLoop(int n) {
int res = 0;
// 循环求和 1, 2, ..., n-1, n
for (int i = 1; i <= n; i++) {
res += i;
}
return res;
}
iteration.rs/* for 循环 */
fn for_loop(n: i32) -> i32 {
let mut res = 0;
// 循环求和 1, 2, ..., n-1, n
for i in 1..=n {
res += i;
}
res
}
iteration.c/* for 循环 */
int forLoop(int n) {
int res = 0;
// 循环求和 1, 2, ..., n-1, n
for (int i = 1; i <= n; i++) {
res += i;
}
return res;
}
iteration.kt/* for 循环 */
fun forLoop(n: Int): Int {
var res = 0
// 循环求和 1, 2, ..., n-1, n
for (i in 1..n) {
res += i
}
return res
}
iteration.rb### for 循环 ###
def for_loop(n)
res = 0
# 循环求和 1, 2, ..., n-1, n
for i in 1..n
res += i
end
res
end
iteration.zig// for 循环
fn forLoop(n: usize) i32 {
var res: i32 = 0;
// 循环求和 1, 2, ..., n-1, n
for (1..n + 1) |i| {
res += @intCast(i);
}
return res;
}
可视化运行
图 2-1 是该求和函数的流程框图。

图 2-1 求和函数的流程框图
此求和函数的操作数量与输入数据大小 \(n\) 成正比,或者说成“线性关系”。实际上,时间复杂度描述的就是这个“线性关系”。相关内容将会在下一节中详细介绍。
2. while 循环
与 for 循环类似,while 循环也是一种实现迭代的方法。在 while 循环中,程序每轮都会先检查条件,如果条件为真,则继续执行,否则就结束循环。
下面我们用 while 循环来实现求和 \(1 + 2 + \dots + n\) :
iteration.pydef while_loop(n: int) -> int:
"""while 循环"""
res = 0
i = 1 # 初始化条件变量
# 循环求和 1, 2, ..., n-1, n
while i <= n:
res += i
i += 1 # 更新条件变量
return res
iteration.cpp/* while 循环 */
int whileLoop(int n) {
int res = 0;
int i = 1; // 初始化条件变量
// 循环求和 1, 2, ..., n-1, n
while (i <= n) {
res += i;
i++; // 更新条件变量
}
return res;
}
iteration.java/* while 循环 */
int whileLoop(int n) {
int res = 0;
int i = 1; // 初始化条件变量
// 循环求和 1, 2, ..., n-1, n
while (i <= n) {
res += i;
i++; // 更新条件变量
}
return res;
}
iteration.cs/* while 循环 */
int WhileLoop(int n) {
int res = 0;
int i = 1; // 初始化条件变量
// 循环求和 1, 2, ..., n-1, n
while (i <= n) {
res += i;
i += 1; // 更新条件变量
}
return res;
}
iteration.go/* while 循环 */
func whileLoop(n int) int {
res := 0
// 初始化条件变量
i := 1
// 循环求和 1, 2, ..., n-1, n
for i <= n {
res += i
// 更新条件变量
i++
}
return res
}
iteration.swift/* while 循环 */
func whileLoop(n: Int) -> Int {
var res = 0
var i = 1 // 初始化条件变量
// 循环求和 1, 2, ..., n-1, n
while i <= n {
res += i
i += 1 // 更新条件变量
}
return res
}
iteration.js/* while 循环 */
function whileLoop(n) {
let res = 0;
let i = 1; // 初始化条件变量
// 循环求和 1, 2, ..., n-1, n
while (i <= n) {
res += i;
i++; // 更新条件变量
}
return res;
}
iteration.ts/* while 循环 */
function whileLoop(n: number): number {
let res = 0;
let i = 1; // 初始化条件变量
// 循环求和 1, 2, ..., n-1, n
while (i <= n) {
res += i;
i++; // 更新条件变量
}
return res;
}
iteration.dart/* while 循环 */
int whileLoop(int n) {
int res = 0;
int i = 1; // 初始化条件变量
// 循环求和 1, 2, ..., n-1, n
while (i <= n) {
res += i;
i++; // 更新条件变量
}
return res;
}
iteration.rs/* while 循环 */
fn while_loop(n: i32) -> i32 {
let mut res = 0;
let mut i = 1; // 初始化条件变量
// 循环求和 1, 2, ..., n-1, n
while i <= n {
res += i;
i += 1; // 更新条件变量
}
res
}
iteration.c/* while 循环 */
int whileLoop(int n) {
int res = 0;
int i = 1; // 初始化条件变量
// 循环求和 1, 2, ..., n-1, n
while (i <= n) {
res += i;
i++; // 更新条件变量
}
return res;
}
iteration.kt/* while 循环 */
fun whileLoop(n: Int): Int {
var res = 0
var i = 1 // 初始化条件变量
// 循环求和 1, 2, ..., n-1, n
while (i <= n) {
res += i
i++ // 更新条件变量
}
return res
}
iteration.rb### while 循环 ###
def while_loop(n)
res = 0
i = 1 # 初始化条件变量
# 循环求和 1, 2, ..., n-1, n
while i <= n
res += i
i += 1 # 更新条件变量
end
res
end
iteration.zig// while 循环
fn whileLoop(n: i32) i32 {
var res: i32 = 0;
var i: i32 = 1; // 初始化条件变量
// 循环求和 1, 2, ..., n-1, n
while (i <= n) : (i += 1) {
res += @intCast(i);
}
return res;
}
可视化运行
while 循环比 for 循环的自由度更高。在 while 循环中,我们可以自由地设计条件变量的初始化和更新步骤。
例如在以下代码中,条件变量 \(i\) 每轮进行两次更新,这种情况就不太方便用 for 循环实现:
iteration.pydef while_loop_ii(n: int) -> int:
"""while 循环(两次更新)"""
res = 0
i = 1 # 初始化条件变量
# 循环求和 1, 4, 10, ...
while i <= n:
res += i
# 更新条件变量
i += 1
i *= 2
return res
iteration.cpp/* while 循环(两次更新) */
int whileLoopII(int n) {
int res = 0;
int i = 1; // 初始化条件变量
// 循环求和 1, 4, 10, ...
while (i <= n) {
res += i;
// 更新条件变量
i++;
i *= 2;
}
return res;
}
iteration.java/* while 循环(两次更新) */
int whileLoopII(int n) {
int res = 0;
int i = 1; // 初始化条件变量
// 循环求和 1, 4, 10, ...
while (i <= n) {
res += i;
// 更新条件变量
i++;
i *= 2;
}
return res;
}
iteration.cs/* while 循环(两次更新) */
int WhileLoopII(int n) {
int res = 0;
int i = 1; // 初始化条件变量
// 循环求和 1, 4, 10, ...
while (i <= n) {
res += i;
// 更新条件变量
i += 1;
i *= 2;
}
return res;
}
iteration.go/* while 循环(两次更新) */
func whileLoopII(n int) int {
res := 0
// 初始化条件变量
i := 1
// 循环求和 1, 4, 10, ...
for i <= n {
res += i
// 更新条件变量
i++
i *= 2
}
return res
}
iteration.swift/* while 循环(两次更新) */
func whileLoopII(n: Int) -> Int {
var res = 0
var i = 1 // 初始化条件变量
// 循环求和 1, 4, 10, ...
while i <= n {
res += i
// 更新条件变量
i += 1
i *= 2
}
return res
}
iteration.js/* while 循环(两次更新) */
function whileLoopII(n) {
let res = 0;
let i = 1; // 初始化条件变量
// 循环求和 1, 4, 10, ...
while (i <= n) {
res += i;
// 更新条件变量
i++;
i *= 2;
}
return res;
}
iteration.ts/* while 循环(两次更新) */
function whileLoopII(n: number): number {
let res = 0;
let i = 1; // 初始化条件变量
// 循环求和 1, 4, 10, ...
while (i <= n) {
res += i;
// 更新条件变量
i++;
i *= 2;
}
return res;
}
iteration.dart/* while 循环(两次更新) */
int whileLoopII(int n) {
int res = 0;
int i = 1; // 初始化条件变量
// 循环求和 1, 4, 10, ...
while (i <= n) {
res += i;
// 更新条件变量
i++;
i *= 2;
}
return res;
}
iteration.rs/* while 循环(两次更新) */
fn while_loop_ii(n: i32) -> i32 {
let mut res = 0;
let mut i = 1; // 初始化条件变量
// 循环求和 1, 4, 10, ...
while i <= n {
res += i;
// 更新条件变量
i += 1;
i *= 2;
}
res
}
iteration.c/* while 循环(两次更新) */
int whileLoopII(int n) {
int res = 0;
int i = 1; // 初始化条件变量
// 循环求和 1, 4, 10, ...
while (i <= n) {
res += i;
// 更新条件变量
i++;
i *= 2;
}
return res;
}
iteration.kt/* while 循环(两次更新) */
fun whileLoopII(n: Int): Int {
var res = 0
var i = 1 // 初始化条件变量
// 循环求和 1, 4, 10, ...
while (i <= n) {
res += i
// 更新条件变量
i++
i *= 2
}
return res
}
iteration.rb### while 循环(两次更新)###
def while_loop_ii(n)
res = 0
i = 1 # 初始化条件变量
# 循环求和 1, 4, 10, ...
while i <= n
res += i
# 更新条件变量
i += 1
i *= 2
end
res
end
iteration.zig// while 循环(两次更新)
fn whileLoopII(n: i32) i32 {
var res: i32 = 0;
var i: i32 = 1; // 初始化条件变量
// 循环求和 1, 4, 10, ...
while (i <= n) : ({
// 更新条件变量
i += 1;
i *= 2;
}) {
res += @intCast(i);
}
return res;
}
可视化运行
总的来说,for 循环的代码更加紧凑,while 循环更加灵活,两者都可以实现迭代结构。选择使用哪一个应该根据特定问题的需求来决定。
3. 嵌套循环
我们可以在一个循环结构内嵌套另一个循环结构,下面以 for 循环为例:
iteration.pydef nested_for_loop(n: int) -> str:
"""双层 for 循环"""
res = ""
# 循环 i = 1, 2, ..., n-1, n
for i in range(1, n + 1):
# 循环 j = 1, 2, ..., n-1, n
for j in range(1, n + 1):
res += f"({i}, {j}), "
return res
iteration.cpp/* 双层 for 循环 */
string nestedForLoop(int n) {
ostringstream res;
// 循环 i = 1, 2, ..., n-1, n
for (int i = 1; i <= n; ++i) {
// 循环 j = 1, 2, ..., n-1, n
for (int j = 1; j <= n; ++j) {
res << "(" << i << ", " << j << "), ";
}
}
return res.str();
}
iteration.java/* 双层 for 循环 */
String nestedForLoop(int n) {
StringBuilder res = new StringBuilder();
// 循环 i = 1, 2, ..., n-1, n
for (int i = 1; i <= n; i++) {
// 循环 j = 1, 2, ..., n-1, n
for (int j = 1; j <= n; j++) {
res.append("(" + i + ", " + j + "), ");
}
}
return res.toString();
}
iteration.cs/* 双层 for 循环 */
string NestedForLoop(int n) {
StringBuilder res = new();
// 循环 i = 1, 2, ..., n-1, n
for (int i = 1; i <= n; i++) {
// 循环 j = 1, 2, ..., n-1, n
for (int j = 1; j <= n; j++) {
res.Append($"({i}, {j}), ");
}
}
return res.ToString();
}
iteration.go/* 双层 for 循环 */
func nestedForLoop(n int) string {
res := ""
// 循环 i = 1, 2, ..., n-1, n
for i := 1; i <= n; i++ {
for j := 1; j <= n; j++ {
// 循环 j = 1, 2, ..., n-1, n
res += fmt.Sprintf("(%d, %d), ", i, j)
}
}
return res
}
iteration.swift/* 双层 for 循环 */
func nestedForLoop(n: Int) -> String {
var res = ""
// 循环 i = 1, 2, ..., n-1, n
for i in 1 ... n {
// 循环 j = 1, 2, ..., n-1, n
for j in 1 ... n {
res.append("(\(i), \(j)), ")
}
}
return res
}
iteration.js/* 双层 for 循环 */
function nestedForLoop(n) {
let res = '';
// 循环 i = 1, 2, ..., n-1, n
for (let i = 1; i <= n; i++) {
// 循环 j = 1, 2, ..., n-1, n
for (let j = 1; j <= n; j++) {
res += `(${i}, ${j}), `;
}
}
return res;
}
iteration.ts/* 双层 for 循环 */
function nestedForLoop(n: number): string {
let res = '';
// 循环 i = 1, 2, ..., n-1, n
for (let i = 1; i <= n; i++) {
// 循环 j = 1, 2, ..., n-1, n
for (let j = 1; j <= n; j++) {
res += `(${i}, ${j}), `;
}
}
return res;
}
iteration.dart/* 双层 for 循环 */
String nestedForLoop(int n) {
String res = "";
// 循环 i = 1, 2, ..., n-1, n
for (int i = 1; i <= n; i++) {
// 循环 j = 1, 2, ..., n-1, n
for (int j = 1; j <= n; j++) {
res += "($i, $j), ";
}
}
return res;
}
iteration.rs/* 双层 for 循环 */
fn nested_for_loop(n: i32) -> String {
let mut res = vec![];
// 循环 i = 1, 2, ..., n-1, n
for i in 1..=n {
// 循环 j = 1, 2, ..., n-1, n
for j in 1..=n {
res.push(format!("({}, {}), ", i, j));
}
}
res.join("")
}
iteration.c/* 双层 for 循环 */
char *nestedForLoop(int n) {
// n * n 为对应点数量,"(i, j), " 对应字符串长最大为 6+10*2,加上最后一个空字符 \0 的额外空间
int size = n * n * 26 + 1;
char *res = malloc(size * sizeof(char));
// 循环 i = 1, 2, ..., n-1, n
for (int i = 1; i <= n; i++) {
// 循环 j = 1, 2, ..., n-1, n
for (int j = 1; j <= n; j++) {
char tmp[26];
snprintf(tmp, sizeof(tmp), "(%d, %d), ", i, j);
strncat(res, tmp, size - strlen(res) - 1);
}
}
return res;
}
iteration.kt/* 双层 for 循环 */
fun nestedForLoop(n: Int): String {
val res = StringBuilder()
// 循环 i = 1, 2, ..., n-1, n
for (i in 1..n) {
// 循环 j = 1, 2, ..., n-1, n
for (j in 1..n) {
res.append(" ($i, $j), ")
}
}
return res.toString()
}
iteration.rb### 双层 for 循环 ###
def nested_for_loop(n)
res = ""
# 循环 i = 1, 2, ..., n-1, n
for i in 1..n
# 循环 j = 1, 2, ..., n-1, n
for j in 1..n
res += "(#{i}, #{j}), "
end
end
res
end
iteration.zig// 双层 for 循环
fn nestedForLoop(allocator: Allocator, n: usize) ![]const u8 {
var res = std.ArrayList(u8).init(allocator);
defer res.deinit();
var buffer: [20]u8 = undefined;
// 循环 i = 1, 2, ..., n-1, n
for (1..n + 1) |i| {
// 循环 j = 1, 2, ..., n-1, n
for (1..n + 1) |j| {
const str = try std.fmt.bufPrint(&buffer, "({d}, {d}), ", .{ i, j });
try res.appendSlice(str);
}
}
return res.toOwnedSlice();
}
可视化运行
图 2-2 是该嵌套循环的流程框图。

图 2-2 嵌套循环的流程框图
在这种情况下,函数的操作数量与 \(n^2\) 成正比,或者说算法运行时间和输入数据大小 \(n\) 成“平方关系”。
我们可以继续添加嵌套循环,每一次嵌套都是一次“升维”,将会使时间复杂度提高至“立方关系”“四次方关系”,以此类推。
2.2.2 递归
递归(recursion)是一种算法策略,通过函数调用自身来解决问题。它主要包含两个阶段。
- 递:程序不断深入地调用自身,通常传入更小或更简化的参数,直到达到“终止条件”。
- 归:触发“终止条件”后,程序从最深层的递归函数开始逐层返回,汇聚每一层的结果。
而从实现的角度看,递归代码主要包含三个要素。
- 终止条件:用于决定什么时候由“递”转“归”。
- 递归调用:对应“递”,函数调用自身,通常输入更小或更简化的参数。
- 返回结果:对应“归”,将当前递归层级的结果返回至上一层。
观察以下代码,我们只需调用函数 recur(n) ,就可以完成 \(1 + 2 + \dots + n\) 的计算:
可视化运行
图 2-3 展示了该函数的递归过程。

图 2-3 求和函数的递归过程
虽然从计算角度看,迭代与递归可以得到相同的结果,但它们代表了两种完全不同的思考和解决问题的范式。
- 迭代:“自下而上”地解决问题。从最基础的步骤开始,然后不断重复或累加这些步骤,直到任务完成。
- 递归:“自上而下”地解决问题。将原问题分解为更小的子问题,这些子问题和原问题具有相同的形式。接下来将子问题继续分解为更小的子问题,直到基本情况时停止(基本情况的解是已知的)。
以上述求和函数为例,设问题 \(f(n) = 1 + 2 + \dots + n\) 。
- 迭代:在循环中模拟求和过程,从 \(1\) 遍历到 \(n\) ,每轮执行求和操作,即可求得 \(f(n)\) 。
- 递归:将问题分解为子问题 \(f(n) = n + f(n-1)\) ,不断(递归地)分解下去,直至基本情况 \(f(1) = 1\) 时终止。
1. 调用栈
递归函数每次调用自身时,系统都会为新开启的函数分配内存,以存储局部变量、调用地址和其他信息等。这将导致两方面的结果。
- 函数的上下文数据都存储在称为“栈帧空间”的内存区域中,直至函数返回后才会被释放。因此,递归通常比迭代更加耗费内存空间。
- 递归调用函数会产生额外的开销。因此递归通常比循环的时间效率更低。
如图 2-4 所示,在触发终止条件前,同时存在 \(n\) 个未返回的递归函数,递归深度为 \(n\) 。

图 2-4 递归调用深度
在实际中,编程语言允许的递归深度通常是有限的,过深的递归可能导致栈溢出错误。
2. 尾递归
有趣的是,如果函数在返回前的最后一步才进行递归调用,则该函数可以被编译器或解释器优化,使其在空间效率上与迭代相当。这种情况被称为尾递归(tail recursion)。
- 普通递归:当函数返回到上一层级的函数后,需要继续执行代码,因此系统需要保存上一层调用的上下文。
- 尾递归:递归调用是函数返回前的最后一个操作,这意味着函数返回到上一层级后,无须继续执行其他操作,因此系统无须保存上一层函数的上下文。
以计算 \(1 + 2 + \dots + n\) 为例,我们可以将结果变量 res 设为函数参数,从而实现尾递归:
recursion.pydef tail_recur(n, res):
"""尾递归"""
# 终止条件
if n == 0:
return res
# 尾递归调用
return tail_recur(n - 1, res + n)
recursion.cpp/* 尾递归 */
int tailRecur(int n, int res) {
// 终止条件
if (n == 0)
return res;
// 尾递归调用
return tailRecur(n - 1, res + n);
}
recursion.java/* 尾递归 */
int tailRecur(int n, int res) {
// 终止条件
if (n == 0)
return res;
// 尾递归调用
return tailRecur(n - 1, res + n);
}
recursion.cs/* 尾递归 */
int TailRecur(int n, int res) {
// 终止条件
if (n == 0)
return res;
// 尾递归调用
return TailRecur(n - 1, res + n);
}
recursion.go/* 尾递归 */
func tailRecur(n int, res int) int {
// 终止条件
if n == 0 {
return res
}
// 尾递归调用
return tailRecur(n-1, res+n)
}
recursion.swift/* 尾递归 */
func tailRecur(n: Int, res: Int) -> Int {
// 终止条件
if n == 0 {
return res
}
// 尾递归调用
return tailRecur(n: n - 1, res: res + n)
}
recursion.js/* 尾递归 */
function tailRecur(n, res) {
// 终止条件
if (n === 0) return res;
// 尾递归调用
return tailRecur(n - 1, res + n);
}
recursion.ts/* 尾递归 */
function tailRecur(n: number, res: number): number {
// 终止条件
if (n === 0) return res;
// 尾递归调用
return tailRecur(n - 1, res + n);
}
recursion.dart/* 尾递归 */
int tailRecur(int n, int res) {
// 终止条件
if (n == 0) return res;
// 尾递归调用
return tailRecur(n - 1, res + n);
}
recursion.rs/* 尾递归 */
fn tail_recur(n: i32, res: i32) -> i32 {
// 终止条件
if n == 0 {
return res;
}
// 尾递归调用
tail_recur(n - 1, res + n)
}
recursion.c/* 尾递归 */
int tailRecur(int n, int res) {
// 终止条件
if (n == 0)
return res;
// 尾递归调用
return tailRecur(n - 1, res + n);
}
recursion.kt/* 尾递归 */
tailrec fun tailRecur(n: Int, res: Int): Int {
// 添加 tailrec 关键词,以开启尾递归优化
// 终止条件
if (n == 0)
return res
// 尾递归调用
return tailRecur(n - 1, res + n)
}
recursion.rb### 尾递归 ###
def tail_recur(n, res)
# 终止条件
return res if n == 0
# 尾递归调用
tail_recur(n - 1, res + n)
end
recursion.zig// 尾递归函数
fn tailRecur(n: i32, res: i32) i32 {
// 终止条件
if (n == 0) {
return res;
}
// 尾递归调用
return tailRecur(n - 1, res + n);
}
可视化运行
尾递归的执行过程如图 2-5 所示。对比普通递归和尾递归,两者的求和操作的执行点是不同的。
- 普通递归:求和操作是在“归”的过程中执行的,每层返回后都要再执行一次求和操作。
- 尾递归:求和操作是在“递”的过程中执行的,“归”的过程只需层层返回。

图 2-5 尾递归过程
Tip
请注意,许多编译器或解释器并不支持尾递归优化。例如,Python 默认不支持尾递归优化,因此即使函数是尾递归形式,仍然可能会遇到栈溢出问题。
3. 递归树
当处理与“分治”相关的算法问题时,递归往往比迭代的思路更加直观、代码更加易读。以“斐波那契数列”为例。
Question
给定一个斐波那契数列 \(0, 1, 1, 2, 3, 5, 8, 13, \dots\) ,求该数列的第 \(n\) 个数字。
设斐波那契数列的第 \(n\) 个数字为 \(f(n)\) ,易得两个结论。
- 数列的前两个数字为 \(f(1) = 0\) 和 \(f(2) = 1\) 。
- 数列中的每个数字是前两个数字的和,即 \(f(n) = f(n - 1) + f(n - 2)\) 。
按照递推关系进行递归调用,将前两个数字作为终止条件,便可写出递归代码。调用 fib(n) 即可得到斐波那契数列的第 \(n\) 个数字:
recursion.pydef fib(n: int) -> int:
"""斐波那契数列:递归"""
# 终止条件 f(1) = 0, f(2) = 1
if n == 1 or n == 2:
return n - 1
# 递归调用 f(n) = f(n-1) + f(n-2)
res = fib(n - 1) + fib(n - 2)
# 返回结果 f(n)
return res
recursion.cpp/* 斐波那契数列:递归 */
int fib(int n) {
// 终止条件 f(1) = 0, f(2) = 1
if (n == 1 || n == 2)
return n - 1;
// 递归调用 f(n) = f(n-1) + f(n-2)
int res = fib(n - 1) + fib(n - 2);
// 返回结果 f(n)
return res;
}
recursion.java/* 斐波那契数列:递归 */
int fib(int n) {
// 终止条件 f(1) = 0, f(2) = 1
if (n == 1 || n == 2)
return n - 1;
// 递归调用 f(n) = f(n-1) + f(n-2)
int res = fib(n - 1) + fib(n - 2);
// 返回结果 f(n)
return res;
}
recursion.cs/* 斐波那契数列:递归 */
int Fib(int n) {
// 终止条件 f(1) = 0, f(2) = 1
if (n == 1 || n == 2)
return n - 1;
// 递归调用 f(n) = f(n-1) + f(n-2)
int res = Fib(n - 1) + Fib(n - 2);
// 返回结果 f(n)
return res;
}
recursion.go/* 斐波那契数列:递归 */
func fib(n int) int {
// 终止条件 f(1) = 0, f(2) = 1
if n == 1 || n == 2 {
return n - 1
}
// 递归调用 f(n) = f(n-1) + f(n-2)
res := fib(n-1) + fib(n-2)
// 返回结果 f(n)
return res
}
recursion.swift/* 斐波那契数列:递归 */
func fib(n: Int) -> Int {
// 终止条件 f(1) = 0, f(2) = 1
if n == 1 || n == 2 {
return n - 1
}
// 递归调用 f(n) = f(n-1) + f(n-2)
let res = fib(n: n - 1) + fib(n: n - 2)
// 返回结果 f(n)
return res
}
recursion.js/* 斐波那契数列:递归 */
function fib(n) {
// 终止条件 f(1) = 0, f(2) = 1
if (n === 1 || n === 2) return n - 1;
// 递归调用 f(n) = f(n-1) + f(n-2)
const res = fib(n - 1) + fib(n - 2);
// 返回结果 f(n)
return res;
}
recursion.ts/* 斐波那契数列:递归 */
function fib(n: number): number {
// 终止条件 f(1) = 0, f(2) = 1
if (n === 1 || n === 2) return n - 1;
// 递归调用 f(n) = f(n-1) + f(n-2)
const res = fib(n - 1) + fib(n - 2);
// 返回结果 f(n)
return res;
}
recursion.dart/* 斐波那契数列:递归 */
int fib(int n) {
// 终止条件 f(1) = 0, f(2) = 1
if (n == 1 || n == 2) return n - 1;
// 递归调用 f(n) = f(n-1) + f(n-2)
int res = fib(n - 1) + fib(n - 2);
// 返回结果 f(n)
return res;
}
recursion.rs/* 斐波那契数列:递归 */
fn fib(n: i32) -> i32 {
// 终止条件 f(1) = 0, f(2) = 1
if n == 1 || n == 2 {
return n - 1;
}
// 递归调用 f(n) = f(n-1) + f(n-2)
let res = fib(n - 1) + fib(n - 2);
// 返回结果
res
}
recursion.c/* 斐波那契数列:递归 */
int fib(int n) {
// 终止条件 f(1) = 0, f(2) = 1
if (n == 1 || n == 2)
return n - 1;
// 递归调用 f(n) = f(n-1) + f(n-2)
int res = fib(n - 1) + fib(n - 2);
// 返回结果 f(n)
return res;
}
recursion.kt/* 斐波那契数列:递归 */
fun fib(n: Int): Int {
// 终止条件 f(1) = 0, f(2) = 1
if (n == 1 || n == 2)
return n - 1
// 递归调用 f(n) = f(n-1) + f(n-2)
val res = fib(n - 1) + fib(n - 2)
// 返回结果 f(n)
return res
}
recursion.rb### 斐波那契数列:递归 ###
def fib(n)
# 终止条件 f(1) = 0, f(2) = 1
return n - 1 if n == 1 || n == 2
# 递归调用 f(n) = f(n-1) + f(n-2)
res = fib(n - 1) + fib(n - 2)
# 返回结果 f(n)
res
end
recursion.zig// 斐波那契数列
fn fib(n: i32) i32 {
// 终止条件 f(1) = 0, f(2) = 1
if (n == 1 or n == 2) {
return n - 1;
}
// 递归调用 f(n) = f(n-1) + f(n-2)
const res: i32 = fib(n - 1) + fib(n - 2);
// 返回结果 f(n)
return res;
}
可视化运行
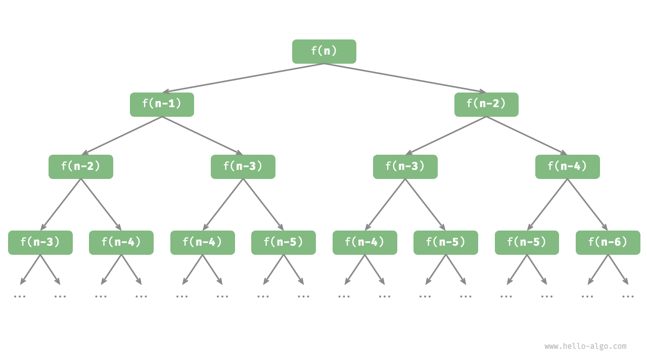
观察以上代码,我们在函数内递归调用了两个函数,这意味着从一个调用产生了两个调用分支。如图 2-6 所示,这样不断递归调用下去,最终将产生一棵层数为 \(n\) 的递归树(recursion tree)。

图 2-6 斐波那契数列的递归树
从本质上看,递归体现了“将问题分解为更小子问题”的思维范式,这种分治策略至关重要。
- 从算法角度看,搜索、排序、回溯、分治、动态规划等许多重要算法策略直接或间接地应用了这种思维方式。
- 从数据结构角度看,递归天然适合处理链表、树和图的相关问题,因为它们非常适合用分治思想进行分析。
2.2.3 两者对比
总结以上内容,如表 2-1 所示,迭代和递归在实现、性能和适用性上有所不同。
表 2-1 迭代与递归特点对比
|
迭代 |
递归 |
| 实现方式 |
循环结构 |
函数调用自身 |
| 时间效率 |
效率通常较高,无函数调用开销 |
每次函数调用都会产生开销 |
| 内存使用 |
通常使用固定大小的内存空间 |
累积函数调用可能使用大量的栈帧空间 |
| 适用问题 |
适用于简单循环任务,代码直观、可读性好 |
适用于子问题分解,如树、图、分治、回溯等,代码结构简洁、清晰 |
Tip
如果感觉以下内容理解困难,可以在读完“栈”章节后再来复习。
那么,迭代和递归具有什么内在联系呢?以上述递归函数为例,求和操作在递归的“归”阶段进行。这意味着最初被调用的函数实际上是最后完成其求和操作的,这种工作机制与栈的“先入后出”原则异曲同工。
事实上,“调用栈”和“栈帧空间”这类递归术语已经暗示了递归与栈之间的密切关系。
- 递:当函数被调用时,系统会在“调用栈”上为该函数分配新的栈帧,用于存储函数的局部变量、参数、返回地址等数据。
- 归:当函数完成执行并返回时,对应的栈帧会被从“调用栈”上移除,恢复之前函数的执行环境。
因此,我们可以使用一个显式的栈来模拟调用栈的行为,从而将递归转化为迭代形式:
可视化运行
观察以上代码,当递归转化为迭代后,代码变得更加复杂了。尽管迭代和递归在很多情况下可以互相转化,但不一定值得这样做,有以下两点原因。
- 转化后的代码可能更加难以理解,可读性更差。
- 对于某些复杂问题,模拟系统调用栈的行为可能非常困难。
总之,选择迭代还是递归取决于特定问题的性质。在编程实践中,权衡两者的优劣并根据情境选择合适的方法至关重要。