12 KiB
RNN原理
循环神经网络(RNN)原理通俗解释
1.RNN怎么来的?
循环神经网络的应用场景比较多,比如暂时能写论文,写程序,写诗,但是,(总是会有但是的),但是他们现在还不能正常使用,学习出来的东西没有逻辑,所以要想真正让它更有用,路还很远。
既然我们已经有了人工神经网络和卷积神经网络,为什么还要循环神经网络? 原因很简单,无论是卷积神经网络,还是人工神经网络,他们的前提假设都是: 元素之间是相互独立的,输入与输出也是独立的,比如猫和狗。 但现实世界中,很多元素都是相互连接的,比如股票随时间的变化,一个人说了: 我喜欢旅游,其中最喜欢的地方是云南,以后有机会一定要去___这里填空,人应该都知道是填“云南“。因为我们是根据上下文的内容推断出来的,但机会要做到这一步就相当得难了。因此,就有了现在的循环神经网络,他的本质是**: 像人一样拥有记忆的能力。**因此,他的输出就依赖于当前的输入和记忆。
2.RNN的网络结构及原理
它的网络结构如下:
其中每个圆圈可以看作是一个单元,而且每个单元做的事情也是一样的,因此可以折叠呈左半图的样子。用一句话解释RNN,就是一个单元结构重复使用。
RNN是一个序列到序列的模型,假设
是一个输入: “我是中国“,那么
就应该对应”是”,”中国”这两个,预测下一个词最有可能是什么?就是
应该是”人”的概率比较大。
因此,我们可以做这样的定义:
。因为我们当前时刻的输出是由记忆和当前时刻的输入决定的,就像你现在大四,你的知识是由大四学到的知识(当前输入)和大三以及大三以前学到的东西的(记忆)的结合,RNN在这点上也类似,神经网络最擅长做的就是通过一系列参数把很多内容整合到一起,然后学习这个参数,因此就定义了RNN的基础:
大家可能会很好奇,为什么还要加一个f()函数,其实这个函数是神经网络中的激活函数,但为什么要加上它呢? 举个例子,假如你在大学学了非常好的解题方法,那你初中那时候的解题方法还要用吗?显然是不用了的。RNN的想法也一样,既然我能记忆了,那我当然是只记重要的信息啦,其他不重要的,就肯定会忘记,是吧。但是在神经网络中什么最适合过滤信息呀?肯定是激活函数嘛,因此在这里就套用一个激活函数,来做一个非线性映射,来过滤信息,这个激活函数可能为tanh,也可为其他。
假设你大四快毕业了,要参加考研,请问你参加考研是不是先记住你学过的内容然后去考研,还是直接带几本书去参加考研呢?很显然嘛,那RNN的想法就是预测的时候带着当前时刻的记忆 去预测。假如你要预测“我是中国“的下一个词出现的概率,这里已经很显然了,运用softmax来预测每个词出现的概率再合适不过了,但预测不能直接带用一个矩阵来预测呀,所有预测的时候还要带一个权重矩阵V,用公式表示为:
RNN中的结构细节: 1.可以把St当作隐状态,捕捉了之前时间点上的信息。就像你去考研一样,考的时候记住了你能记住的所有信息。 2.Ot是由当前时间以及之前所有的记忆得到的。就是你考研之后做的考试卷子,是用你的记忆得到的。 3.很可惜的是,St并不能捕捉之前所有时间点的信息。就像你考研不能记住所有的英语单词一样。 4.和卷积神经网络一样,这里的网络中每个cell都共享了一组参数(U,V,W),这样就能极大的降低计算量了。 5.Ot在很多情况下都是不存在的,因为很多任务,比如文本情感分析,都是只关注最后的结果的。就像考研之后选择学校,学校不会管你到底怎么努力,怎么心酸的准备考研,而只关注你最后考了多少分。
3.RNN的改进1: 双向RNN
在有些情况,比如有一部电视剧,在第三集的时候才出现的人物,现在让预测一下在第三集中出现的人物名字,你用前面两集的内容是预测不出来的,所以你需要用到第四,第五集的内容来预测第三集的内容,这就是双向RNN的想法。如图是双向RNN的图解:

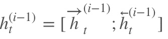
这里的
做的是一个拼接,如果他们都是1000x1维的,拼接在一起就是1000x2维的了。
双向RNN需要的内存是单向RNN的两倍,因为在同一时间点,双向RNN需要保存两个方向上的权重参数,在分类的时候,需要同时输入两个隐藏层输出的信息。
4.RNN的改进2: 深层双向RNN
深层双向RNN 与双向RNN相比,多了几个隐藏层,因为他的想法是很多信息记一次记不下来,比如你去考研,复习考研英语的时候,背英语单词一定不会就看一次就记住了所有要考的考研单词吧,你应该也是带着先前几次背过的单词,然后选择那些背过,但不熟的内容,或者没背过的单词来背吧。
深层双向RNN就是基于这么一个想法,他的输入有两方面,第一就是前一时刻的隐藏层传过来的信息
,和当前时刻上一隐藏层传过来的信息
,包括前向和后向的。

我们用公式来表示是这样的:
然后再利用最后一层来进行分类,分类公式如下:

4.1 Pyramidal RNN
其他类似的网络还有Pyramidal RNN:
我们现在有一个很长的输入序列,可以看到这是一个双向的RNN,上图是谷歌的W.Chan做的一个测试,它原先要做的是语音识别,他要用序列到序列的模型做语音识别,序列到序列就是说,输入一个序列然后就输出一个序列。
由图我们发现,上一层的两个输出,作为当前层的输入,如果是非常长的序列的话,这样做的话,每一层的序列都比上一层要短,但当前层的输入f(x)也会随之增多,貌似看一起相互抵消,运算量并没有什么改进。
但我们知道,对于一层来说,它是从前往后转的,比如要预测一个股市的变化,以天为单位,假如要预测明天的股市变化,你就要用今天,以及今天之前的所有数据,我们暂时无法只用昨天的数据,不用今天的数据,预测明天的数据,也即是说,预测必须具有连续性。 但每一层的f运算是可以并行的,从这个角度来看,运算量还是可以接受的,特别是在原始输入序列较短的时候还是有优势的。
5.RNN的训练-BPTT
如前面我们讲的,如果要预测t时刻的输出,我们必须先利用上一时刻(t-1)的记忆和当前时刻的输入,得到t时刻的记忆:
然后利用当前时刻的记忆,通过softmax分类器输出每个词出现的概率:
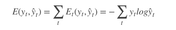
为了找出模型最好的参数,U,W,V,我们就要知道当前参数得到的结果怎么样,因此就要定义我们的损失函数,用交叉熵损失函数:
其中
t时刻的标准答案,是一个只有一个是1,其他都是0的向量;
是我们预测出来的结果,与
的维度一样,但它是一个概率向量,里面是每个词出现的概率。因为对结果的影响,肯定不止一个时刻,因此需要把所有时刻的造成的损失都加起来:
如图所示,你会发现每个cell都会有一个损失,我们已经定义好了损失函数,接下来就是熟悉的一步了,那就是根据损失函数利用SGD来求解最优参数,在CNN中使用反向传播BP算法来求解最优参数,但在RNN就要用到BPTT,它和BP算法的本质区别,也是CNN和RNN的本质区别: CNN没有记忆功能,它的输出仅依赖与输入,但RNN有记忆功能,它的输出不仅依赖与当前输入,还依赖与当前的记忆。这个记忆是序列到序列的,也就是当前时刻收到上一时刻的影响,比如股市的变化。
因此,在对参数求偏导的时候,对当前时刻求偏导,一定会涉及前一时刻,我们用例子看一下:
假设我们对E3的W求偏导: 它的损失首先来源于预测的输出
,预测的输出又是来源于当前时刻的记忆s3,当前的记忆又是来源于当前的输出和截止到上一时刻的记忆:
因此,根据链式法则可以有:

但是,你会发现,
,也就是s2里面的函数还包含了W,因此,这个链式法则还没到底,就像图上画的那样,所以真正的链式法则是这样的:
我们要把当前时刻造成的损失,和以往每个时刻造成的损失加起来,因为我们每一个时刻都用到了权重参数W。和以往的网络不同,一般的网络,比如人工神经网络,参数是不同享的,但在循环神经网络,和CNN一样,设立了参数共享机制,来降低模型的计算量。
6.RNN与CNN的结合应用: 看图说话
在图像处理中,目前做的最好的是CNN,而自然语言处理中,表现比较好的是RNN,因此,我们能否把他们结合起来,一起用呢?那就是看图说话了,这个原理也比较简单,举个小栗子: 假设我们有CNN的模型训练了一个网络结构,比如是这个
最后我们不是要分类嘛,那在分类前,是不是已经拿到了图像的特征呀,那我们能不能把图像的特征拿出来,放到RNN的输入里,让他学习呢?
之前的RNN是这样的:
我们把图像的特征加在里面,可以得到:
其中的X就是图像的特征。如果用的是上面的CNN网络,X应该是一个4096X1的向量。
注: 这个公式只在第一步做,后面每次更新就没有V了,因为给RNN数据只在第一次迭代的时候给。
7.RNN项目练手
RNN可以写歌词,写诗等,这有个项目可以玩玩,还不错。 Tensorflow实现RNN













